JNIV

‘Domus Medica’

Mercatorlaan 1200, 3528 BL UTRECHT

T: (030) 899 0654 (algemeen)

E: jniv@internisten.nl

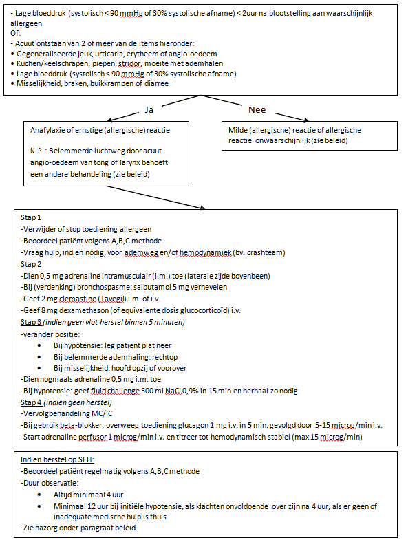
Anafylactische reactie

Anafylactische reactie
Anafylcatische reactie